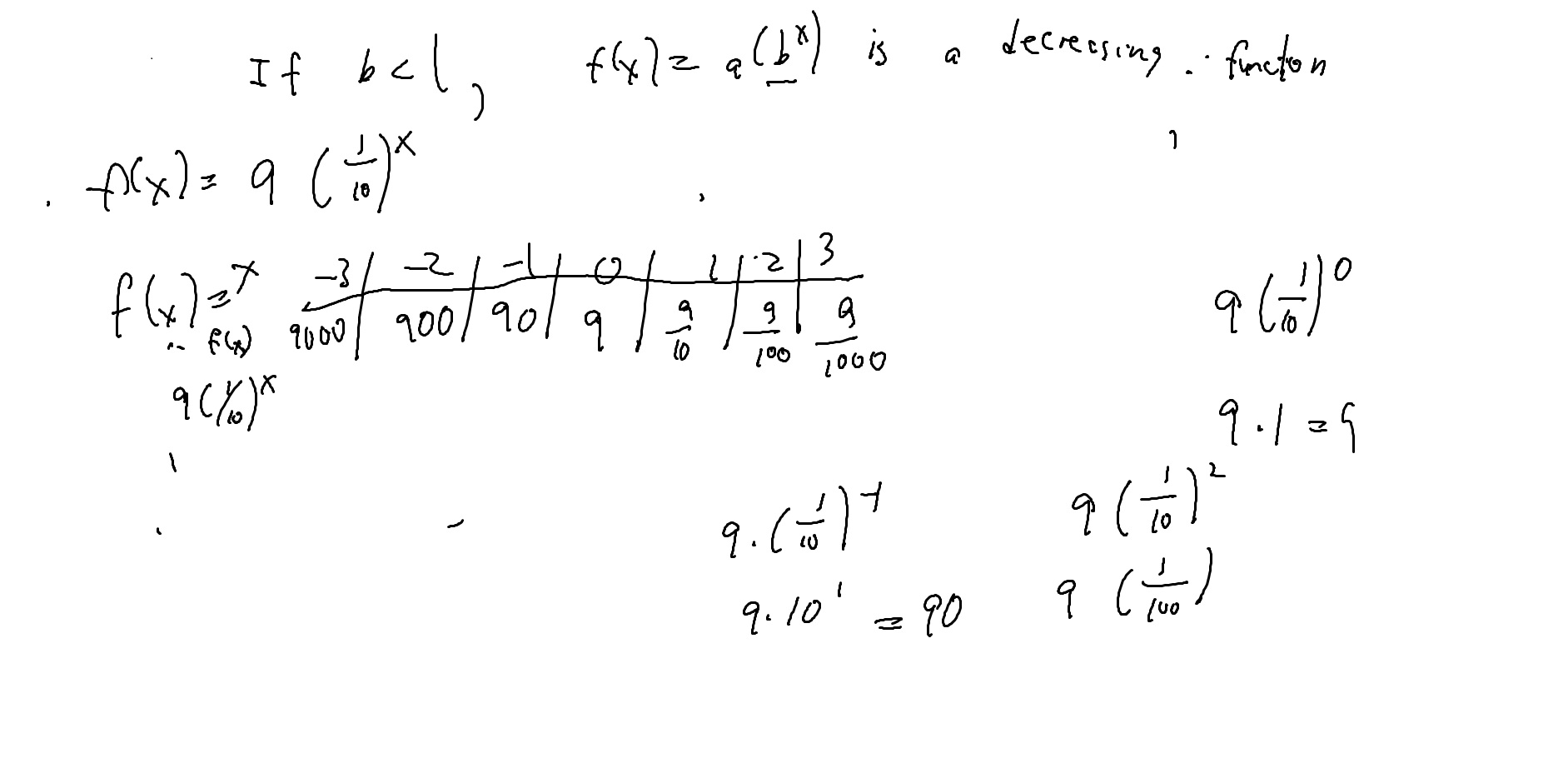
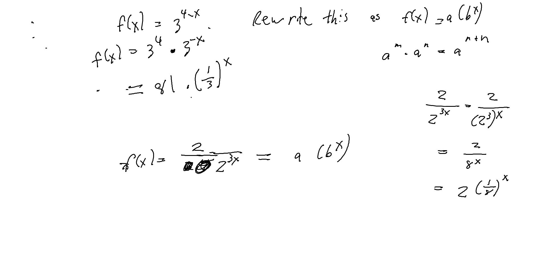
philos.nmu.edu - /ma111-04-26w/sample/notes20260311/


[To Parent Directory]

3/11/2026 2:32 PM 130878 slide1.jpg
3/11/2026 2:39 PM 118002 slide2.jpg
3/11/2026 2:46 PM 144575 slide3.jpg
3/11/2026 2:51 PM 101870 slide4.jpg