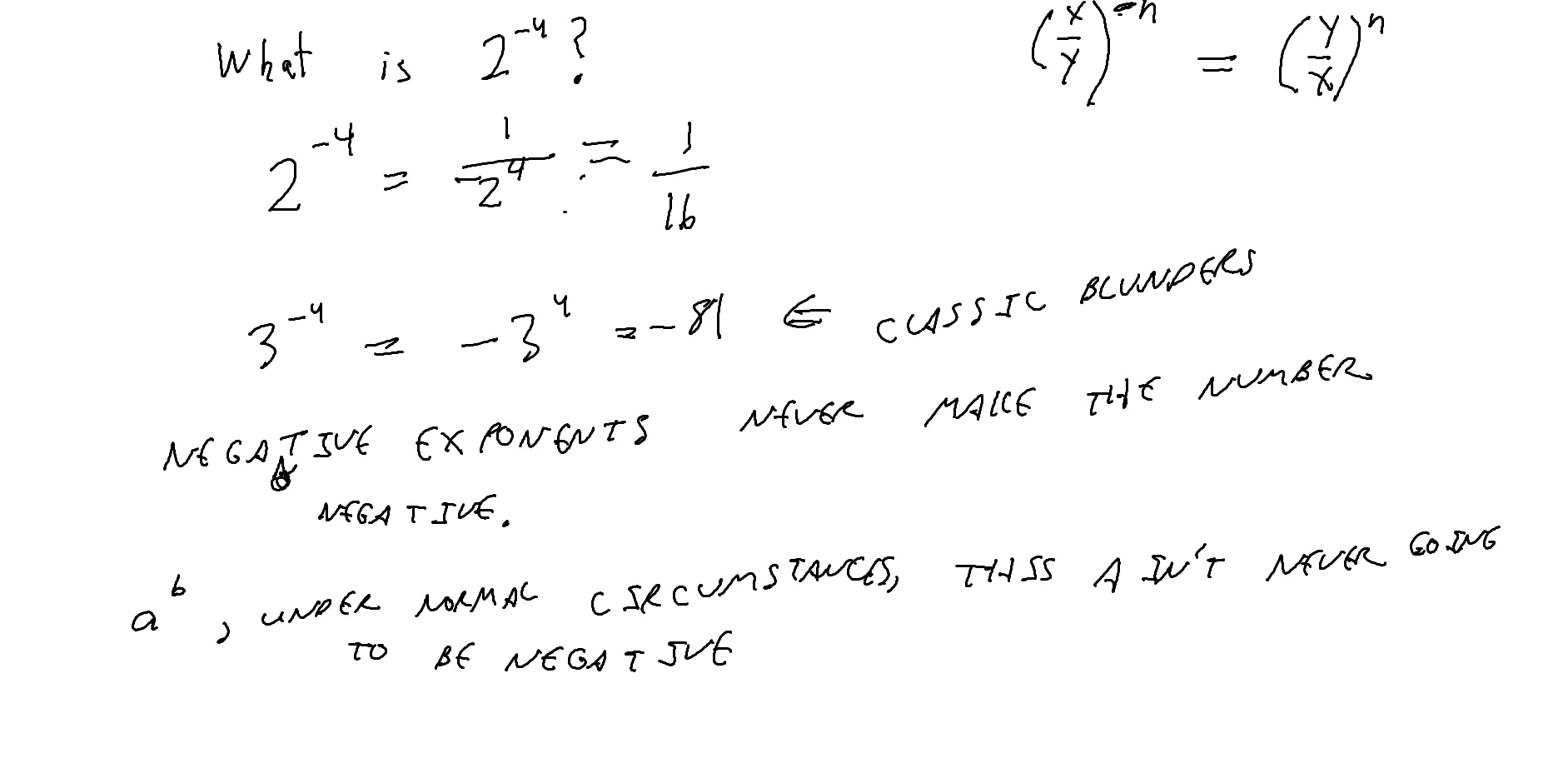
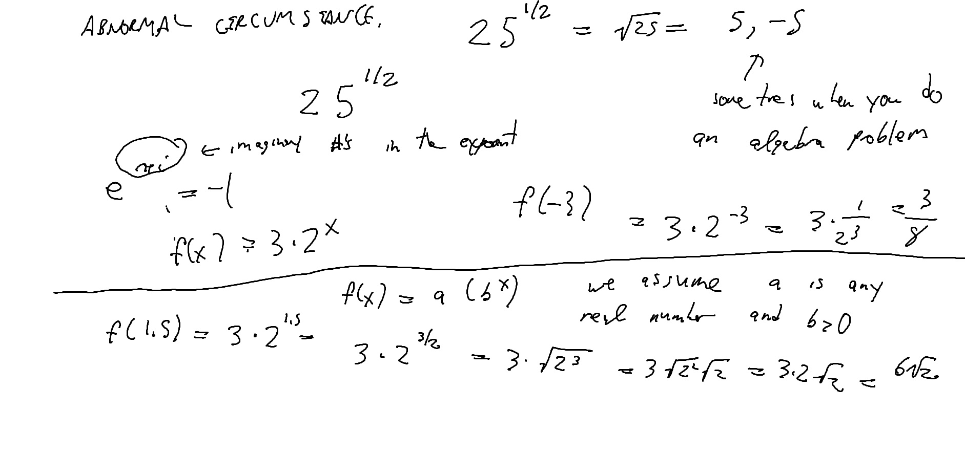
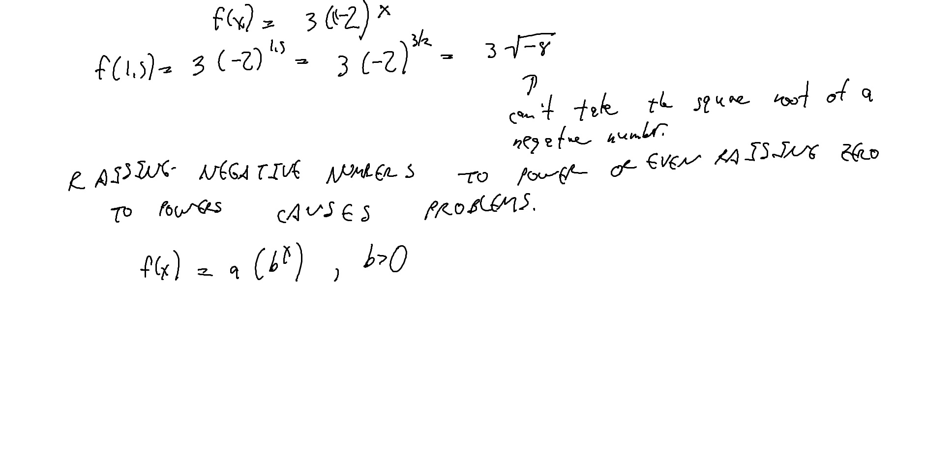
philos.nmu.edu - /ma111-04-26w/sample/notes20260309/


[To Parent Directory]

3/9/2026 2:30 PM 163265 slide1.jpg
3/9/2026 2:34 PM 134980 slide2.jpg
3/9/2026 2:40 PM 164556 slide3.jpg
3/9/2026 2:43 PM 120036 slide4.jpg
3/9/2026 2:50 PM 161775 slide5.jpg