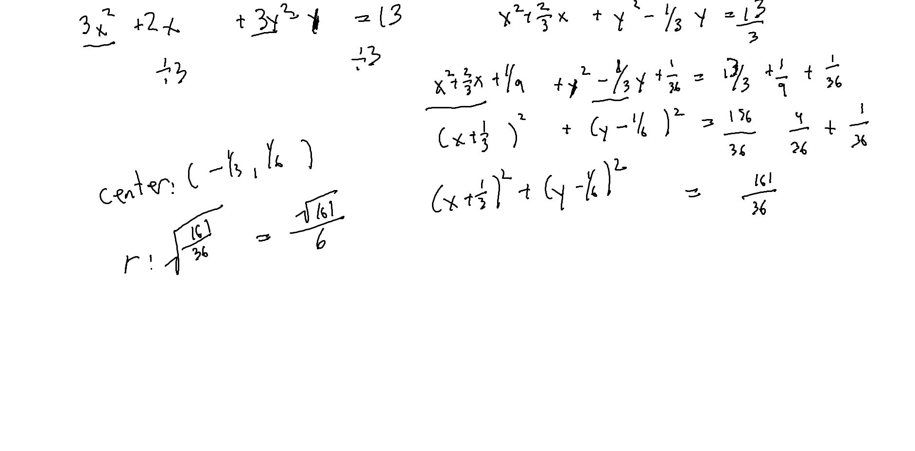
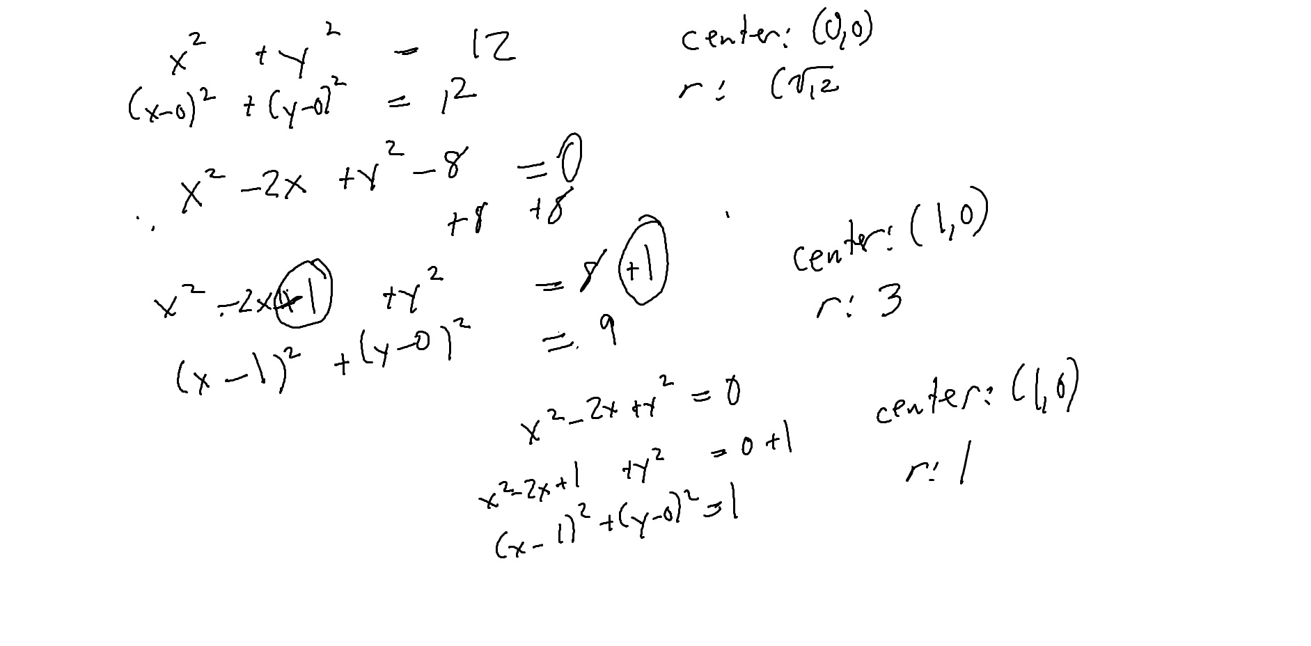
philos.nmu.edu - /ma111-04-26w/sample/notes20260213/


[To Parent Directory]

2/13/2026 3:37 PM 104134 slide1.jpg
2/13/2026 3:44 PM 119085 slide2.jpg
2/13/2026 3:51 PM 113867 slide3.jpg