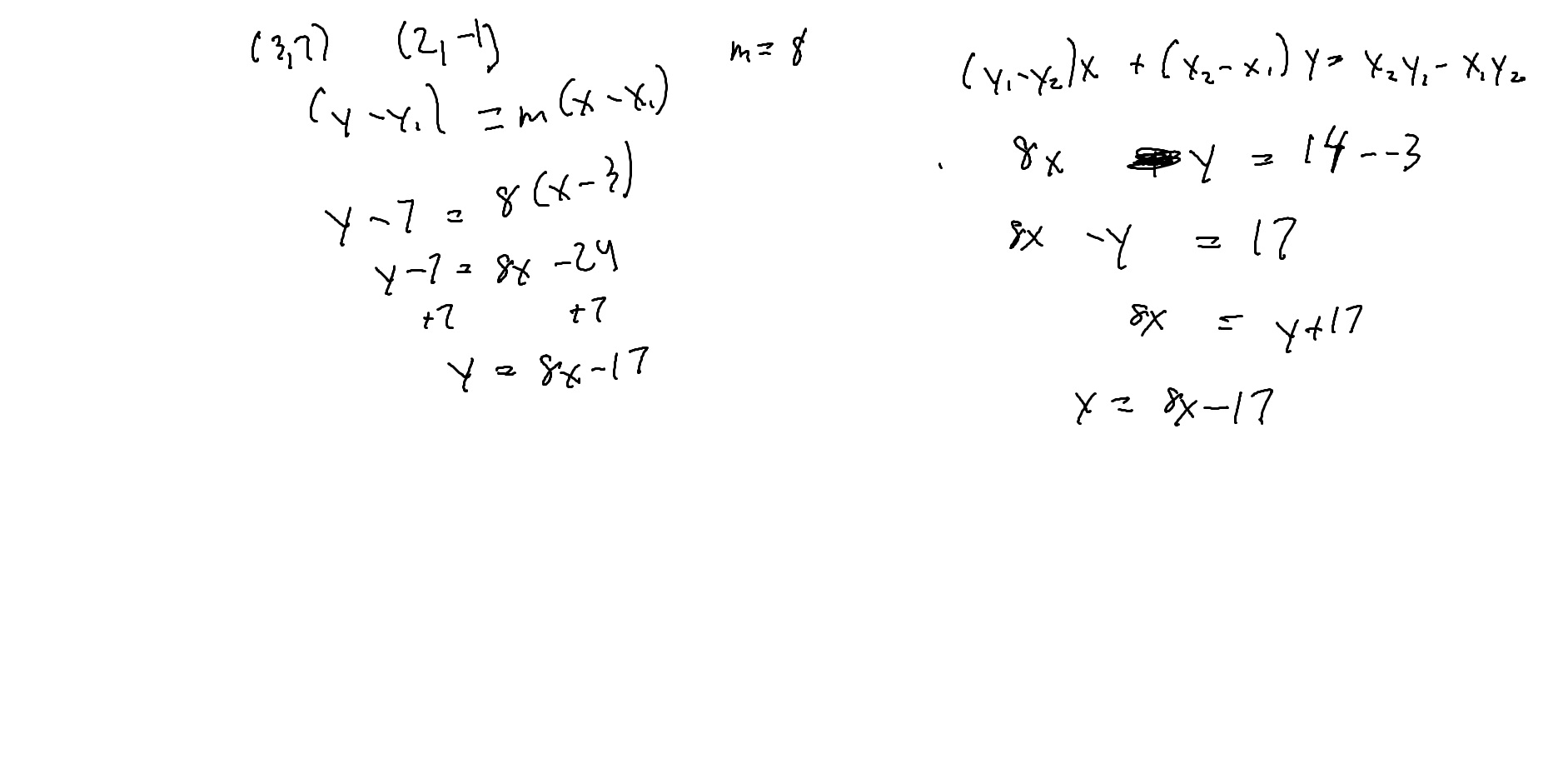
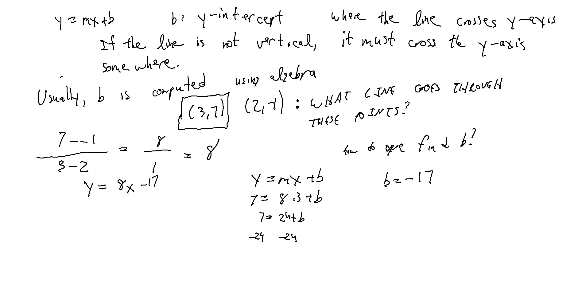
philos.nmu.edu - /ma111-04-26w/sample/notes20260209/


[To Parent Directory]

2/9/2026 3:25 PM 200087 slide1.jpg
2/9/2026 3:25 PM 199960 slide2.jpg
2/9/2026 3:43 PM 155413 slide3.jpg
2/9/2026 3:51 PM 90522 slide4.jpg